Quiz: Volume Integration solutions
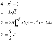
Problem 1: Find the volume of the solid of revolution of the region bound by y = 4-x^2 and y = 1 in the first quadrant revolved about the y-axis by using the shell method.
First we find the bounds of integration
