Quiz: Related Rates solutions
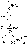
Problem 1: Imagine an inverted right circular cone of height 5m and radius 3m filled to the brim with sand. It is located above a right cylinder of height 10m and radius 15m. Find the rate at of which the pile of sand is growing in the cylinder if the depth of the sand in the cone is decreasing at a rate of 0.5m/s and is at a depth of 3m. Assume that the sand that flows into the cylinder uniformly.

Since dh/dt = -0.5m/s, and h = 3
![]()
This is the rate at of which sand flows out of the cone.
Now we need to determine the symbolic rate of flow into the cylinder.

Since the flow of sand out of the cone is the negative of the flow of sand into the cylinder..

Problem 2: A man 2 meters tall is walking at a constant rate of 1 m/s away from a 5 meters tall light post. At what speed is the tip of his shadow moving when he is 10 meters away from the light post?
Man height = 2m
Post height = 5m
Rate of man's walk = 1m/s away from post = dA/dt
Man to light post = 10m = A
Man to shadow tip = B
Light post to shadow tip = A+B = C
C/5=A/(5-2)
C/5=A/3
C=(5/3)A
dC/dt = (5/3)dA/dt
dC/dt = (5/3)(1)
dC/dy = (5/3) m/s away from post
Problem 3: A man 1.5 meters tall is jogging at a constant rate of 2 m/s towards a 3.5 meters tall light post. At what speed is the tip of his shadow approaching the lightpost, regardless of where he is?
Man height = 1.5m
Post height = 3.5m
Rate of man's walk = 2m/s towards post = dA/dt
Man to light post = A
Man to shadow tip = B
Light post to shadow tip = A+B = C
C/5=A/(3.5-1.5)
C/5=A/2
C=(5/2)A
dC/dt = (5/2)dA/dt
dC/dt = (5/2)(2)
dC/dy = (5) m/s towards post