Related Rates | Volume Integration | Polar Calculus | Integration by Parts | Quiz

Quiz: Integration by Parts solutions

Problem 1: Evaluate the following:

 +

 cos(5x)

 ex

 -

 -5sin(5x)

 ex

 +

 -25cos(5x)

 ex

Problem 2: Evaluate the following:

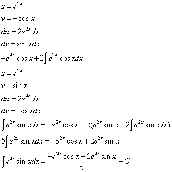
Problem 3: Evaluate the following:

Back

a subsidiary of HivePC. Copyright 2005